Home / Publications / Research / Selection Matters: Lessons from Two Decades of Immigrant Earnings
- Media Releases
- Research
- |
Selection Matters: Lessons from Two Decades of Immigrant Earnings
Summary:
| Citation | Skuterud, Mikal, and Ruiwen Zhang. 2026. Selection Matters: Lessons from Two Decades of Immigrant Earnings. 714. Toronto: C.D. Howe Institute. |
| Page Title: | Selection Matters: Lessons from Two Decades of Immigrant Earnings – C.D. Howe Institute |
| Article Title: | Selection Matters: Lessons from Two Decades of Immigrant Earnings |
| URL: | https://cdhowe.org/publication/selection-matters-lessons-from-two-decades-of-immigrant-earnings/ |
| Published Date: | April 16, 2026 |
| Accessed Date: | April 16, 2026 |
Outline
Outline
Authors
Related Topics
Files
For all media inquiries, including requests for reports or interviews:
by Mikal Skuterud and Ruiwen Zhang
- This Commentary examines relative employment rates and hourly earnings of Canadian immigrants and non-permanent residents (NPRs) from 2005 to 2024, with particular attention to changes following the introduction of Express Entry in 2015 and the subsequent unprecedented rise in immigration levels.
- Despite significantly higher intake levels after 2015, the labour market performance of new permanent residents improved. The gains are concentrated among university-educated immigrants, especially men, and are most consistent with the effects of Express Entry, which replaced a first-come, first-served system with one that prioritizes applicants with the highest expected earnings. Recent male cohorts appear on track to reach earnings parity with Canadian-born workers within five years of landing.
- Nonetheless, the results also point to a sharp deterioration in the average hourly earnings of non-permanent resident men in 2020-2024, particularly among college-educated men. Policies that prioritize this population for permanent residency in the years ahead risk undermining the gains of the past decade.
- To avoid this, the government should return to relying exclusively on the Comprehensive Ranking System for economic-class immigrant selection.
Introduction
A pillar of the Liberal Party’s election platform in 2015, and a key recommendation of its Advisory Council on Economic Growth after being elected, was a substantial increase in immigration levels. Over the following eight years, Canada’s annual population growth rate increased from 0.8 percent to 3.2 percent, reaching its highest rate since 1958. The remarkable acceleration was fuelled entirely by higher international migration inflows.
In response to mounting criticism and concerns about the adverse effects of record-level immigration on housing and labour markets, the Liberal government sharply reversed course in 2024. It imposed hard caps on international student admissions, reimposed regulations on the Temporary Foreign Worker Program (TFWP), and revised its immigration targets downward for 2025/26.1See: https://www.canada.ca/en/immigration-refugees-citizenship/news/2024/10/government-of-canada-reduces-immigration.html. If its targets are met, Canada’s population growth will turn negative in the coming years.
Canada’s experiment with heightened immigration from 2016 to 2024 was unique. The episode provides a special opportunity for researchers to identify immigration’s economic effects on housing markets, labour markets, and economic growth. In this Commentary, we provide an early evaluation of its effects on the relative earnings outcomes of newcomers.
Immigration’s potential to boost average economic living standards depends critically on newcomers’ relative labour market earnings. Higher immigration levels affect average earnings in two main ways. First, when the labour force grows faster than business capital investment, as it did in 2016-2024, diminishing returns depress the marginal productivity of labour and, in turn, wages (Doyle, Skuterud and Worswick 2025). Second, in a score-based selection system, achieving higher immigration levels may require accepting applicants with lower ranking scores, thereby lowering the human capital of the marginal candidate admitted (Mahboubi 2024). Both effects will tend to reduce newcomer productivity and average earnings.2See Doyle, Skuterud and Worswick (2025) for a discussion of these expected effects.
However, Canada has implemented significant reforms to its economic-class immigrant selection policies over the past two decades. These reforms were a response to evidence of a dramatic deterioration in immigrant earnings through the 1980s and 1990s. Most notably, the government introduced the Express Entry (EE) system in January 2015. EE replaced a first-come, first-served processing system with one that prioritized candidates with the highest expected earnings. It also gives preference to candidates with Canadian work experience and Canadian educational credentials.3Additional points for Canadian postsecondary education were introduced in November 2016. These policy reforms may have counteracted the adverse effects of heightened immigration levels on immigrant earnings outcomes after 2015. Determining if, and to what extent, they did so is the focus of our analysis.
Empirical research on immigrant earnings assimilation in Canada has almost exclusively relied on census data (Baker and Benjamin 1994; Aydemir and Skuterud 2005; Clarke and Skuterud 2013; Clarke, Ferrer and Skuterud 2019). Most recently, Hou (2024) used census data to estimate the relative earnings of recent immigrants up to May 2020, at the beginning of the COVID-19 pandemic. Census data for immigrants who landed thereafter, when net migration inflows peaked, will not be available until 2027.
In this Commentary, we use the master microdata files of the Labour Force Survey (LFS) to estimate the relative employment rates and average earnings of new Canadian permanent residents, as well as non-permanent residents (NPRs), up to December 2024.4Crossman, Hou and Picot (2021) estimate relative weekly earnings of immigrants using LFS data from 2015 to 2019. Most recently, Champagne, Long and Pouline-Moore (2025) examine changes in the relative hourly earnings of non-permanent residents using LFS data between 2015 and 2024. Besides providing more timely data, the LFS reports hourly (rather than weekly or annual) earnings. Differences in hourly rates of pay are more likely to reflect labour productivity and less likely to reflect differences in hours of work and unequal access to full-time jobs. Data on hourly earnings are, therefore, better at capturing the impact of immigration on average human capital (skills, knowledge and experience), which is the key mechanism through which immigration can boost economic growth (Doyle, Skuterud and Worswick 2025).
The LFS estimates reveal a substantial improvement in the relative average hourly earnings of Canada’s new permanent residents after 2015. These gains reflect shifts in cohort composition toward higher-skilled immigrants, as well as higher earnings among comparable immigrants within cohorts, as captured by the conditional estimates. The gains are strongest among university-educated men. This pattern is consistent with the timing and design of the EE system, which prioritizes highly educated economic-class applicants, particularly men. There is no evidence that higher immigrant earnings at landing are coming at the expense of lower employment rates or weaker post-landing earnings growth.5Hou (2024) reports that 36 percent of new permanent residents in 2022 held a work permit, compared to 19 percent in 2010. As an increasing share of new immigration cohorts are already employed in Canada and have, therefore, already begun their earnings-assimilation process, earnings at the point of landing will be higher, but post-landing earnings growth will be lower. In effect, selecting immigrants with pre-landing work experience amounts to giving immigrants a head start. We do not, however, see evidence of lower earnings growth, which suggests the earnings gains more likely reflect the higher average human capital of more recent landing cohorts. In fact, immigrant men who landed after 2020 appear to reach earnings parity with Canadian-born workers within five years of landing. This contrasts with the experience of Canada’s immigrants between 1990 and 2005.
Nonetheless, the estimates also reveal a sharp deterioration in the wages of NPR men employed full-time in the 2020-2024 period. The deterioration is strongest among college-educated men. This is consistent with the surge in foreign student admissions in community colleges after 2015. Policies that prioritize this population for permanent residency risk undermining the gains in immigrant outcomes of the past decade.
Data
Our analysis is based on an extract of data from the monthly LFS master files between January 2006 and December 2025.6The LFS first introduced questions identifying the immigration status of respondents in January 2006. Unlike the public-use LFS files, the master files allow us to identify immigrants’ exact landing year, as well as their country of birth and, for those with postsecondary education, where their highest educational credential was obtained.
In addition, the master files allow us to identify foreign-born individuals who have never been landed immigrants, i.e., permanent residents. While this group is comprised mostly of NPRs, it also includes foreign-born individuals who were Canadian citizens at birth, such as children of foreign diplomats and armed forces personnel.7In the 2021 census, foreign-born individuals who were Canadian citizens at birth comprised 0.9 percent of the population (322,530 of 36,228,480) and 19.8 percent of the foreign-born population who are not landed immigrants. See: Statistics Canada Table 98-10-0361-01. The subset of naturalized citizens is, however, relatively stable over time, so changes in the relative labour market outcomes of this group are more likely to reflect changes in the NPR population whose relative size grew dramatically over the sample period. While subject to the limitations summarized in Box 1, the LFS master files remain the only available source for analyzing relative immigrant earnings outcomes through 2025.


To reduce data collection costs, households that are sampled by the LFS are interviewed for six consecutive months, and survey questions on job characteristics, including earnings, are not repeated in re-interviews for individuals who report they have not changed their job. This, however, introduces measurement error, since individuals’ hourly wage rates often change in the absence of job changes. We find that non-response in follow-up interviews is also substantially higher among immigrants and NPRs, which introduces potential sample-selection biases. To mitigate these biases, we restrict our sample to initial (“birth”) interviews.
We begin by pooling birth interviews in the January 2006 through December 2024 files.8In a small number of cases, we find multiple initial interviews for records with the same individual identifier. All the observations for these individuals were dropped from our sample. Similarly, we dropped all observations where the gender changes across interviews or their age decreases or increases by more than one. Again, the number of observations affected is small. From this sample, we extract the subsample of those aged 25-54 who were not full-time students at the time of their interview.9Part-time students remain in the sample. Given the age and full-time employment restrictions for the NPR analysis, the share of part-time students – among both immigrants and NPRs – is very small and unlikely to materially influence the cohort effects. We do this because we are interested in measuring the relative human capital of immigrants, which is best captured using adults’ employment and earnings outcomes after school completion. Also, because we are primarily interested in the effects of changes in immigrant selection policy, especially EE’s introduction in January 2015, we restrict the immigrant sample to individuals who landed between 2005 and 2024 and whose age at landing was between 18 and 54.
Table 1 shows the number of observations in the final LFS samples of men and women. In total, there are some 860,000 observations on men and some 885,000 on women. Landed immigrants account for 8.3 percent of men and 9 percent of women. These immigrant shares are substantially lower than in the overall population. This mostly reflects our restriction to 2005-2024 landing cohorts who were 18-54 at landing, but it also reflects under-sampling of immigrants in the LFS.


Indeed, LFS under-sampling of NPRs, who comprise 2.7 percent and 2.5 percent of men and women in our samples, respectively, is more severe.10We have compared (weighted) LFS estimates of the size of immigrant landing cohorts (annual number of new permanent residents) between 2015 and 2023 to official data. In every year, except 2017, the LFS underestimates the size of cohorts. The underestimate is especially large in 2021 (40 percent), but closer to 15 percent in most other years. We have also compared the size of the NPR population from the LFS to official estimates in 2021 to 2024. The results reveal growing underestimates over time. In July 2024, the LFS estimated an NPR population (age 25-54), somewhat fewer than one million, compared to an official estimate of slightly more than 1.7 million. These results are available from the authors on request. For more on this matter, see: Skuterud, Mikal. 2025. “The Growing Data Gap on Canada’s Temporary Resident Workforce.” E-Brief 367. Toronto: C.D. Howe Institute. February. https://cdhowe.org/wp-content/uploads/2025/02/E-Brief_367-new-1.pdf. Since the cause of higher non-response rates in the foreign-born population is unknown, it is unclear whether, and to what extent, it biases estimates of their relative employment rates and average earnings. If the earnings of sampled foreign-born residents are systematically different from those who are missing from the data, the LFS’s sampling weights are unlikely to correct biases in the underlying data.
Given the significance of these LFS sampling issues, it is important to gauge to what extent they may be driving the results. To do this, we exploit the panel dimension of the LFS data. If the factors that determine non-response in birth, or initial, interviews overlap with the factors that determine non-response in follow-up interviews, we can learn something from comparing employment rates and average earnings identified in birth interviews for respondents who are missed in follow-up interviews with those who remain in the sample.
The results of this analysis reveal higher attrition rates in the immigrant and, especially, NPR populations, as well as lower average hourly earnings among respondents who later drop out of the survey. However, the main patterns we identify, especially the improvement in employment rates and average earnings of more recent immigrant cohorts and the decline in earnings of recent NPRs, appear not to be driven by biases caused by non-random non-response.11These results are available on request from the authors.
Methodology
To identify the effects of changes in immigrant selection policies, we compare employment rates and average hourly earnings of immigrant cohorts who landed before and after selection rules changed.12The hourly earnings data are adjusted by the CPI. Improvements in average outcomes between landing cohorts imply improved selection. These comparisons are made in relative terms, comparing immigrant outcomes to those of the Canadian-born, rather than attributing changes solely to selection policy in isolation.
Hourly earnings at the time of landing may provide a poor measure of the relative earnings potential of newcomers. Why? First, macroeconomic conditions at the time of landing can impact new immigrants’ labour market outcomes, and policy changes may be correlated with those conditions. Second, the past two decades have seen Canada shift toward a two-step immigration system in which increasing numbers of new permanent residents land with previous Canadian work experience.
To ensure that higher earnings at landing reflect higher lifetime earnings potential and not the pre-landing Canadian work experience of recent landing cohorts, we would ideally condition the analysis on immigrants’ years since arrival.13Where new immigrants are transitioning to permanent residency from a Canadian work permit, their entry earnings are not their earnings on arrival. As a result, it is possible that higher entry earnings reflect identification of immigrants’ earnings on a higher, but flatter, part of an increasing, but concave, earnings profile that has not changed over time. Unfortunately, while the LFS identifies immigrants’ year of landing, it does not record their year of arrival in Canada. To compare the earnings potential of landing cohorts, we must compare both earnings at landing and earnings growth after landing. Doing so requires conditioning on immigrants’ year of landing and years since landing, as well as the current year to capture macroeconomic conditions. However, this is impossible due to the perfect linear dependence between these three variables (landing year + years since landing = current year).
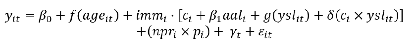
The solution to this empirical identification problem, as first proposed by Borjas (1985), is to assume the absence of cohort effects in the comparison group of Canadian-born workers. To do this, we estimate the following regression:


where yit is either a binary employment indicator or the log hourly earnings of individual i observed in month t; f(ageit) is a quartic in individual i’s age when sampled in month t; immi is a dummy variable indicating whether individual i is a landed immigrant; ci are fixed effects for the immigrant landing cohort i; aali is age at landing; ysli is years since landing; npri is a dummy variable indicating whether individual i is an NPR; pi are fixed effects for the period in which NPR i is sampled; γt is a full set of year fixed effects; and εit is a random error term with mean zero and variance. Since hourly earnings are not identified for self-employed workers, we restrict the wage regressions to paid employees. Both the landing cohort (ci) and NPR period (pi) fixed effects are grouped into the following four groups: 2005-2009, 2010-2014, 2015-2019, and 2020-2024.14Identification relies on the assumption, standard in the immigrant cohort literature, that contemporaneous macroeconomic conditions and other economy-wide developments affect immigrants and the Canadian-born similarly. Under this assumption, such shocks are absorbed by the year-fixed effects, while immigrant-landing-cohort-fixed effects capture persistent differences across immigrant cohorts relative to the Canadian-born.
To address the perfect collinearity of landing cohort, years since landing, and calendar year, the model follows the standard approach in the cohort-assimilation literature and assumes that there are no cohort effects among Canadian-born workers. Under this assumption, the year fixed effects account for macroeconomic shocks that affect immigrants and Canadian-born workers similarly, while the immigrant cohort fixed effects capture differences across immigrant cohorts, reflecting both changes in selection policy and any distinct responses of immigrants to macroeconomic conditions.
The model cannot fully disentangle the effects of policy reforms and programs such as EE, category-based selection, or Provincial Nominee Programs from other changes that differentially affect immigrants landing in particular years. Instead, we interpret policy effects based on the timing and pattern of cohort differences, especially by education.
Our primary interest in estimating regression equation (1) is the evolution of the immigrant landing-cohort and NPR period fixed effects, which identify the relative outcomes of immigrants and NPRs who arrived in different periods. Less negative estimated values of ci in 2015-2019 and 2020-2024 are consistent with EE improving immigrant selection. These changes may also reflect interactions between selection rules and prevailing economic conditions, if such conditions affect immigrants differently than the Canadian-born. Economy-wide shocks that affect both groups similarly are captured by the year-fixed effects.
As further evidence of improved selection, we subsequently estimate equation (1) separately for three education groups: (i) high school or less; (ii) college diploma or trades certification; and (iii) university degree. Since economic-class immigration is comprised mostly of individuals with postsecondary education, especially those with a university education, any effects of changes in selection policy rules, such as the introduction of EE, should be more evident in higher education estimates.
In addition, we estimate regression equation (1) by including additional control variables in order to gauge the extent to which changes in relative employment and earnings outcomes across cohorts reflect changes in the observable characteristics of newcomers. Specifically, we include indicators of whether individual i’s postsecondary education is from Canada (for those with postsecondary education); marital status and the presence of a child under age six at home; occupational skill level (five groups);15Occupation enters the regressions via a five-category skill-level classification based on the educational requirements of the job rather than the full set of detailed National Occupational Classification categories. Given the limited sample sizes for recent cohorts in the LFS, cutting immigrant-cohort effects by detailed occupation or sector would produce imprecise and potentially misleading estimates, so the analysis focuses on broad skill levels. public-sector employment; union coverage; establishment size (four groups); province of residence; and region of birth (12 groups). We include these variables to control for observable compositional differences across cohorts, rather than to explain individual wage determination or occupational sorting.
As with all age–period–cohort frameworks, the model cannot separately quantify the effects of selection policy changes versus immigrant-specific responses to macroeconomic conditions within a given cohort year. Interpretation, therefore, rests on the plausibility of the comparison-group assumption.
Results
New Permanent Residents
To facilitate interpretation, we use the regression estimates to predict age-employment and age-earnings profiles for immigrant men and women who landed in Canada at age 25 across the four five-year landing cohorts that define the cohort-fixed effects.16The choice of age 25 is illustrative: shifting the reference age would move all cohort profiles up or down by a similar amount, but would not affect the relative differences across cohorts or the patterns of improvement in immigrant earnings. We plot these estimates, along with their 95-percent confidence intervals, in Figure 1. To gauge labour market assimilation, we also plot the comparable age profiles for Canadian-born workers.


The top-left panel in Figure 1 shows that immigrants face lower employment rates in the first two-to-three years after landing, followed by slightly higher employment in later years. Their long-run employment advantage reflects higher labour force participation, while the shortfall at landing reflects higher unemployment. Over time, however, the magnitude of the initial shortfall has declined, especially for the most recent landing cohort (2020-2024). This pattern is consistent with the shift to prioritizing new permanent residents who are already working in Canada, since the gains for more recent cohorts disappear four years after landing.17The percentage of new permanent residents who held a work permit before obtaining permanent resident status increased from 17.4 percent in 2005-2009 to 22.8 percent in 2010-2014 to 31.6 percent in 2015-2019 to 45 percent in 2020-2023 (data for 2024 are unavailable at the time of writing). For more on this shift to “two-step immigration,” see Hou, Feng. 2025. “From Temporary to Permanent Residency: Recent Trends in Canada’s Two-Step Immigration Selection.” IRPP Data Brief (3). September.
A similar pattern of narrowing employment shortfalls for more recent landing cohorts appears among women. The improvements are larger for immigrant women and for the most recent landing cohort. Nonetheless, even after four years, an employment shortfall of nearly 10 percentage points exists. These persistent gaps likely reflect differences in the labour market attachment among immigrant women, potentially related to cultural factors (Fernández and Fogli 2009).
The bottom-left panel shows average hourly earnings (displayed on a logarithmic scale, which allows differences between cohorts to be interpreted as approximate percentage differences). For both men and women, more recent landing cohorts earn higher wages at landing, consistent with improved immigrant selection. These earnings gains for more recent cohorts appear more persistent than the employment gains shown in the upper two panels of Figure 1. Among men, post-2015 cohorts exhibit not only higher average earnings at landing but also higher subsequent earnings growth. Consequently, the 2020-2024 cohort of immigrant men is reaching earnings parity with Canadian-born counterparts four years after landing. The trajectory of this cohort’s earnings profile suggests that their average earnings will surpass those of Canadian-born workers within five years of landing. For immigrant women, there is also evidence of assimilation, but not enough to close the earnings gap of about 10-15 percent at landing.18We also examined the 2020–2024 landing cohort, divided into two subgroups (2020–2022 and 2023–2024), to explore whether the category-based selection introduced in 2023 affected earnings outcomes. The estimates suggest a possible reversal for the 2023/24 cohort compared to earlier recent cohorts. However, given the small sample sizes and substantial overlap in confidence intervals, these results may reflect sampling error, and additional data will be needed to determine whether this emerging pattern represents a real change.
EE primarily prioritizes applicants with the highest human capital characteristics, especially high levels of education and superior English or French language proficiency. Figure 2 presents employment-age profiles by education level for three groups: (i) high school or less; (ii) college diploma or trade certification; and (iii) university degree. These results allow us to assess whether the improvements observed in Figure 1 reflect a shift in immigrant selection to applicants with higher education levels and, in turn, higher employment rates and earnings, or whether similar gains are evident within the education group.


Figure 2 shows no clear evidence of improvement among the least educated immigrants. Immigrant women with high school or less have exceptionally low employment rates at landing (about 30 percent). Although their employment rates converge somewhat toward those of Canadian-born women over time, they do not reach parity. This pattern has changed little across cohorts.
In contrast, the least-educated immigrant men overcome an initial employment gap, but there is no clear evidence that the gaps at landing of about 15 percentage points have narrowed over time or are closing more quickly.19The 2020-2024 profile (blue line) is steeper for the least educated men, but the standard error of the estimates is too big to distinguish it from the earlier cohorts. Since applicants with high school or less are unlikely to have been selected through an economic-class program, either before and after the introduction of EE in 2015, there is no reason to expect selection policy changes to have affected this group.
There is some evidence of improvements for those with college diplomas or trade certificates, but the differences between cohorts are too small to distinguish them statistically. College-educated immigrant men face employment gaps at landing of 15 to 20 percentage points, which close within five years of landing. Whereas, college-level immigrant women face initial gaps of 30 to 40 percentage points, which get smaller with years since landing but never close. Changes in immigrant selection policy appear to have done little to change these patterns.
The bottom two panels of Figure 2, however, are consistent with policy reforms improving the selection of university-educated immigrants. The results for men and women both point to smaller employment gaps at entry for the most recent landing cohort. Yet these improvements, especially for men, do not persist beyond five years after landing. This pattern suggests that the improvements are driven by the shift toward prioritizing applicants who are currently employed in Canada on temporary work permits, including post-graduate work permits. In other words, more recent cohorts benefit from a head start because they have accumulated Canadian work experience at the time of landing.
Figure 3 presents the corresponding hourly earnings profiles for each education group. The results for the least educated group suggest little to no improvement in the earnings potential of more recent landing cohorts. This is especially true for immigrant men, where a persistent shortfall of roughly 20 percent in average hourly earnings appears virtually identical for the 2005-2009 and 2020-2024 landing cohorts. For immigrant women, there is some indication of faster earnings growth for the most recent landing cohort, but the differences between cohorts are statistically indistinguishable.


For the college-level graduates, there is more evidence of higher earnings, but the gains appear to be short-lived. In other words, for both men and women, more recent cohorts have higher average earnings at landing but also slower subsequent earnings growth than earlier cohorts. While there is evidence of some convergence in the level of immigrant and Canadian-born earnings, an earnings gap of at least 10 percent appears to persist for college-level immigrant men and women. The short-term gains, again, appear more consistent with the shift to two-step immigration than with a selection policy that improves the average earnings potential and human capital of more recent immigrants.
The profiles of university-educated immigrants in the bottom two panels of Figure 3 appear quite different. More recent cohorts earn more at landing, and there is no evidence that these gains are coming at the expense of slower earnings growth. For university-educated men, earnings grow more rapidly with years since landing in the 2020–2024 cohort, bringing them close to parity with Canadian-born men within 10 years of landing.
For university-educated immigrant women, earnings gaps appear more persistent. But the improvement in earnings at landing shows little to no sign of dissipating with additional time in Canada. These results are consistent with the EE system improving the selection of university-educated applicants.
Adding controls for whether the university degree is at the graduate level and/or obtained in Canada, as well as indicators of marital status, pre-school children, occupation, public-sector employment, union status, establishment size, province of residence, rural status, and region of birth, do nothing to change the earnings estimates for university-educated immigrants (for both men and women).20The differences in the estimated effects partially reflect shifts in the occupational skill mix. However, occupational mix appears to be a relatively minor factor in explaining the improvement in earnings. Country of origin seems to matter more. In other words, changes in the average values of these characteristics for more recent landing cohorts do not explain the improvement in earnings. This implies that the gains reflect improved selection among applicants with similar education levels, occupations, and regional origins. They may also reflect the EE system’s prioritization of candidates with superior English or French language proficiency or those with arranged employment.
While EE favours language-proficiency-based selection, the LFS does not include standardized language test scores or detailed self-assessed language ability. We therefore cannot directly observe improvements in language proficiency across cohorts. Instead, we infer their role from the timing of policy changes and the concentration of gains among university-educated immigrants, who are most likely to have been selected through EE.
Non-Permanent Residents
While the LFS allows us to identify foreign-born individuals who have never been landed immigrants, it does not identify their year of arrival in Canada. Consequently, we are unable to estimate assimilation profiles for NPRs comparable to those in Figures 1-3. Instead, we estimate a constant difference in the relative employment rates and average log hourly earnings of NPRs.21As noted in the methodology, the population of foreign-born individuals who have never been landed immigrants includes foreign-born Canadians who were naturalized at birth, such as children of foreign diplomats. The size and composition of this population should, however, be relatively stable over time so that changes in average labour market outcomes within this population are more likely to reflect changes in outcomes within the NPR population. Figure 4 shows these differences, separately for men and women, by the period in which they are observed in the LFS data. It also includes the 95-percent confidence intervals of the estimates.


Before interpreting the results, it is worth emphasizing that our sample restriction to individuals aged 25-54 who are working full time excludes the vast majority of current international students. As a result, hourly earnings are measured for a relatively homogeneous group of workers. However, the sample does include former international students who have transitioned to a post-graduate work permit. An important part of the growth in Canada’s NPR population and increasing share of the NPR samples in the LFS data likely reflects foreign students who have remained in Canada following graduation and are now employed or seeking employment.
The results reveal persistent gaps in NPR employment rates, with the gaps for women roughly four times as large as those for men. Since a job contract or offer from a Canadian employer is often a prerequisite for a work permit, these gaps may seem unexpected. However, a large proportion of our NPR samples likely includes holders of open work permits, such as former international students and spouses of temporary foreign workers, who are unemployed or not seeking Canadian employment. There is no evidence that the labour market attachment of Canada’s NPR population has deteriorated over time. The differences in the gaps for men are all statistically indistinguishable, while the gaps for women appear to cycle in a way that may be related to macroeconomic conditions.
The relative hourly earnings of NPR men do, however, reveal a sharp deterioration in the most recent period. This deterioration is not evident for NPR women. An earnings gap of about 11 to 12 percent (11-12 log points) throughout the 2005-2019 period increased to 20 percent (20 log points) in 2020-2024. What happened? A first impulse might be to attribute this change to growth in low-skill migration through the TFWP, but the low-skill share of such entries actually declined between 2015-2019 and 2020-2024.22Low-skill workers comprised three-quarters of TFWP entries in 2015-2019 and some two-thirds in 2020-2024. See https://www.ircc.canada.ca/opendata-donneesouvertes/data/EN_ODP-TR-Work-TFWP_PT_NOC4_sign.xlsx. Consistent with this, the share of NPRs with no postsecondary education in our sample also fell for both men and women (see online Tables A1 and A2). Moreover, as shown in Figure 5, when we restrict the sample to respondents with high school or less, there is no evidence of a deterioration in average hourly earnings.


A more plausible explanation for the declining earnings of NPR men is that it reflects a deterioration in the hourly earnings of former international students (Skuterud 2018). Figure 5 reveals that the earnings deterioration for NPR men in the 2020-2024 period is most pronounced among those with a college-level education, although it is also evident for the university-educated.
Between 2015/16 and 2022/23, foreign student enrolments at publicly funded Canadian postsecondary institutions roughly doubled, rising from 228,972 to 468,090.23Data on foreign student postsecondary enrolments come from the Statistics Canada Postsecondary Student Information System. See Statistics Canada Table 37-10-0232-01. The increase was highly concentrated in community colleges, not universities (a 240-percent increase in colleges compared with 56 percent in universities). This suggests that the deteriorating earnings for NPR men may reflect a deterioration in the academic entry standards of Canadian postsecondary institutions, especially colleges, as they scaled up their foreign student enrolments.
The foreign enrolment increase in colleges was, however, larger for women than for men (274 versus 214 percent). The absence of any deterioration in the earnings of NPR women suggests that a quantity-quality tradeoff in postsecondary admissions is not the explanation.
Alternatively, the growth in foreign student enrolments of men in colleges may have been concentrated in fields of study where earnings outcomes are lower. There is, however, little gender difference in the distribution of growth across fields of study. About half (49 percent) of the growth in foreign student enrolments of men between 2015/2016 and 2022/2023 was in “business and administration” programs, compared to 46 percent of the growth for women. A larger share of growth among men was in “mathematics and computer and information systems” (17 percent versus 11 percent), while a larger share of the growth among women was in healthcare (12 percent versus 4 percent). However, the gender differences are too small to account for the stark gulf in the earnings performance of NPR men in 2020-2024.
However, once we consider the education, occupation, residence, and region of origin characteristics of NPRs, the deterioration in the earnings of NPR men in 2020-2024 is fully explained. Of particular importance is a sharp increase in the proportion of NPR men from South Asia, rising from 8.1 percent in 2005-2009 to 11 percent in 2010-2014, 14.8 percent in 2015-2019, and 24 percent in 2020-2024. Among college graduates, only migrant men from Southeast Asia have lower average hourly earnings than South Asian men.
This shift in the origin region of NPR men is also evident among women, but it is more modest (5.6 to 6.9 to 9.6 to 17.5 percent). The South Asian earnings gap is also smaller for women. More importantly, the conditional estimates point to an improvement in hourly earnings in 2020-2024 among NPR women with similar education levels, jobs, and regional origins.
Discussion
We use LFS data to examine the employment and hourly earnings performance of Canadian immigrants and NPRs in the 2005-2024 period. The results point to improved outcomes for new permanent residents after 2015. Higher average hourly earnings in the first years after landing have not come at the expense of lower employment rates or lower subsequent earnings growth. In fact, the estimates suggest that immigrant men who landed in the 2020-2024 period are attaining earnings parity with similarly aged Canadian-born workers within five years of landing. Among women, there is evidence of comparable gains in employment rates and average hourly earnings, but less evidence of improved earnings growth with years since landing. Consequently, parity with Canadian-born women in employment and earnings appears more elusive.
The improved labour market performance of Canada’s new immigrants after 2015 runs counter to what one might expect, given that 2015-2024 saw annual immigration levels nearly double.24Except for 2020, when travel restrictions limited international migration, the number of annual new permanent residents admitted increased steadily from 267,455 in 2015 to 464,295 in 2024. Economic-class immigration increased from 170,420 to 281,615. This should have lowered average wages through a diminishing marginal product of labour and quantity-quality tradeoffs in immigrant selection. What explains the improvement? The fact that the gains are observed almost exclusively among university-educated immigrants, especially men, suggests it reflects improved economic-class selection policy. Moreover, since the gains occurred after 2015, the results are most consistent with the effects of the EE system that replaced a first-come, first-served system of processing qualified applicants with one that regularly cream-skimmed candidates in the applicant pool with the highest expected earnings.
Nonetheless, despite these gains in the immigrant population, the results also point to a sharp deterioration in the average hourly earnings of NPR men in the 2020-2024 period. Observed declines are concentrated among specific NPR subgroups and do not characterize all non-permanent residents. The deterioration is largest for NPR men with a college-level education and, while smaller in magnitude, is also evident among those with a university degree.
The single most important factor explaining the deterioration appears to be a dramatic increase in the proportion of the NPR population from South Asia, a group who have exceptionally low average hourly earnings. This population shift is consistent with the dramatic growth in enrolments of foreign students from South Asia after 2015.
Recent policy changes may affect these trends. In May 2023, the federal government introduced a new selection system for economic-class immigration called category-based selection (CBS). Rather than prioritizing candidates with the highest Comprehensive Ranking System (CRS) scores for every draw, the new system gives the immigration minister the flexibility to conduct targeted draws that prioritize candidates with work experience in particular occupations or with strong French-language proficiency. While CRS-based application draws remain in place, CBS diverts a portion of invitations from general draws to targeted categories, reducing the share of candidates selected solely on the basis of CRS rankings and shifting overall selection priorities toward broader policy objectives.
To date, the CBS system has prioritized candidates in healthcare, STEM, trades, transportation, and agriculture. By not relying exclusively on the CRS – a prediction of immigrants’ future earnings – to rank and select candidates, the CBS risks reversing the post-2015 earnings gains evident in the LFS data, particularly if targeted criteria are weakly correlated with long-run labour market performance. The risk of this happening is especially acute given the exceptionally low hourly earnings of the male NPR population in 2020-2024, many of whom are likely in the current applicant pool for permanent residency.
In addition, Provincial Nominee Programs continue to account for a rising share of new permanent residents.25Because the LFS does not identify immigrants’ admission category, EE versus non-EE status, or whether they were selected through CBS or a provincial nomination program, the analysis cannot directly attribute the observed cohort patterns to specific programs. Instead, it interprets them as being most consistent with strengthened economic-class selection after 2015. Despite these limitations, no administrative data sources with program identifiers (e.g., Longitudinal Immigration Database or the Longitudinal Administrative Databank) are available for the post-pandemic period when selection reforms and NPR growth peaked. Given that they have, on average, lower entry standards, this development similarly risks undermining the post-2015 gains.26Our sensitivity analysis of recent landing cohorts supports this concern: the 2023/24 subgroup appears to show early signs of weaker earnings outcomes, consistent with the possibility that the shift toward category-based and provincial selection could erode recent gains (see footnote 18). Continued monitoring will be needed to determine whether CBS and provincial selection patterns are contributing factors.
To avoid this, the government should return to relying exclusively on the CRS for economic-class immigrant selection. To build on the improvements in immigrant earnings, the CRS should also be enhanced by including additional criteria, such as applicants’ field of study and their prior Canadian earnings levels, as argued by Doyle, Skuterud, and Worswick (2025) and Mahboubi (2024).
Conclusion
New permanent residents in Canada have experienced substantial gains in employment and earnings since 2015, when the EE system was introduced, with men achieving near-parity with Canadian-born peers within five years of landing. While improvements among women are evident, earnings parity remains less pronounced. However, NPR men – particularly from South Asia – exhibit sharply lower earnings, highlighting a source of potential vulnerability in the future immigrant pool. These findings highlight the importance of maintaining and enhancing a selection system that prioritizes earnings potential and economic integration, ensuring that Canada’s immigration policy continues to support labour market success for new entrants.
The authors extend gratitude to Daniel Hiebert, Parisa Mahboubi, Miana Plesca, Steven Tobin, Tingting Zhang, and several anonymous referees for valuable comments and suggestions. The authors retain responsibility for any errors and the views expressed.
References
Aydemir, Abdurrahman, and Mikal Skuterud. 2005. “Explaining the Deteriorating Entry Earnings of Canada’s Immigrant Cohorts: 1966–2000.” Canadian Journal of Economics 38(2): 641–672.
Baker, Michael, and Dwayne Benjamin. 1994. “The Performance of Immigrants in the Canadian Labor Market.” Journal of Labor Economics 12(3): 369-405.
Borjas, George. 1985. “Assimilation, Changes in Cohort Quality, and the Earnings of Immigrants.” Journal of Labor Economics 3(4): 463-489.
Champagne, Julien, Mallory Long, and Antoine Pouline-Moore. 2025. “The Shift in Canadian Immigration Composition and its Effects on Wages.” Bank of Canada, Staff Discussion Paper, no. 8.
Clarke, Andrew, and Mikal Skuterud. 2013. “Why Do Immigrant Workers in Australia Perform Better than in Canada? Is It the Immigrants or Their Labour Markets?” Canadian Journal of Economics 46(4): 1431–1470.
Clarke, Andrew, Ana Ferrer, and Mikal Skuterud. 2019. “Immigrant Skill Selection and Utilization: A Comparative Analysis of Australia, Canada, and the United States.” Journal of Labor Economics 37(S1): S443–S490.
Crossman, Eden, Feng Hou, and Garnett Picot. 2021. “Are the Gaps in Labour Market Outcomes Between Immigrants and their Canadian-Born Counterparts Starting to Close?” Economic and Social Reports. Statistics Canada. Catalogue no. 36-28-0001.
Doyle, Matthew, Mikal Skuterud, and Christopher Worswick. 2025. “The Economics of Immigration Levels.” Canadian Journal of Economics 58(1): 109-135.
Fernández, Raquel, and Alessandra Fogli. 2009. “An Empirical Investigation of Beliefs, Work, and Fertility.” American Economic Journal: Macroeconomics 1(1): 146-177.
Hou, Feng. 2024. “The Improvement in the Labour Market Outcomes of Recent Immigrants Since the Mid-2010s.” Economic and Social Reports, Statistics Canada, catalogue no. 36-28-0001.
Mahboubi, Parisa. 2024. Quality Over Quantity: How Canada’s Immigration System Can Catch Up with Its Competitors. Commentary 654. Toronto: C.D. Howe Institute. February. https://cdhowe.org/publication/quality-over-quantity-how-canadas-immigration-system-can-catch-its.
Skuterud, Mikal. 2018. Comparing Outcomes: The Relative Job-Market Performance of Former International Students. Commentary 518. Toronto: C.D. Howe Institute. August. https://cdhowe.org/publication/comparing-outcomes-relative-job-market-performance-former-international-students/.
Related Publications
- Videos
Why the $10/day Childcare Program Isn’t Working and How to Fix It | Parisa Mahboubi & Tingting Zhang
- Research
- Podcasts

